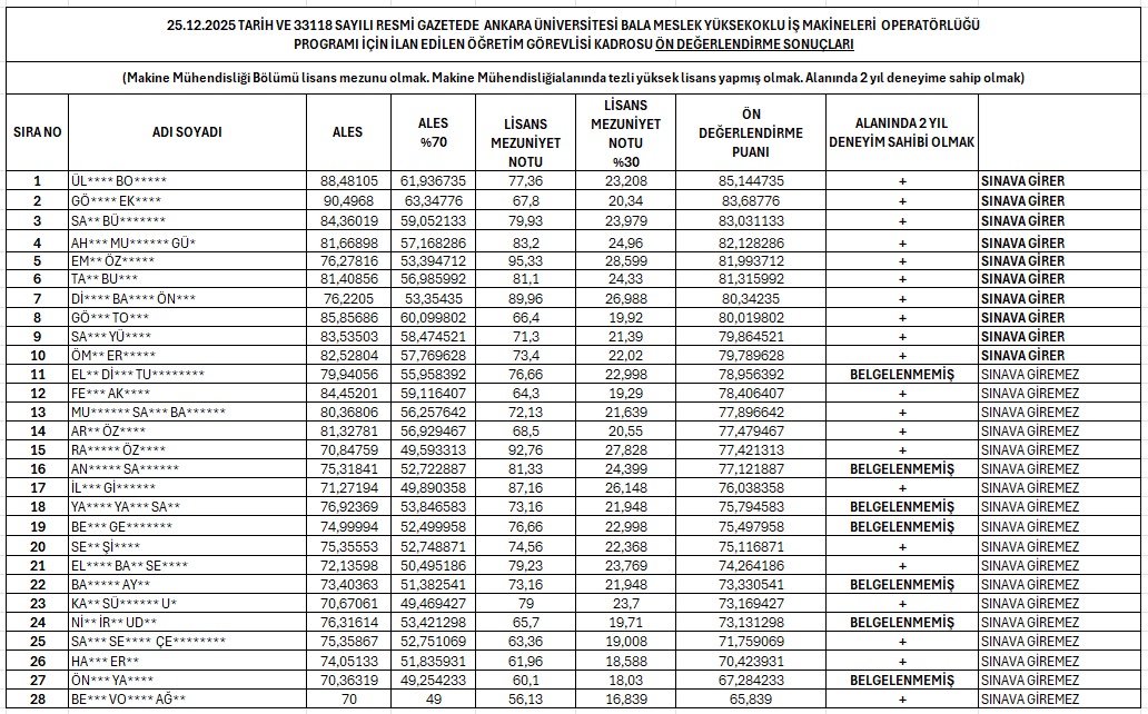
25.12.2025 TARİH VE 33118 SAYILI RESMİ GAZETEDE ANKARA ÜNİVERSİTESİ BALA MESLEK YÜKSEKOKLU İŞ MAKİNELERİ OPERATÖRLÜĞÜ
PROGRAMI İÇİN İLAN EDİLEN ÖĞRETİM GÖREVLİSİ KADROSU ÖN DEĞERLENDİRME SONUÇLARI

Sınav Giriş Tarihi : 22.01.2026

Sınav Saati: 14:00

Sınav Yeri: Ankara Üniversitesi Bala Meslek Yüksekokulu 104 Nolu Derslik