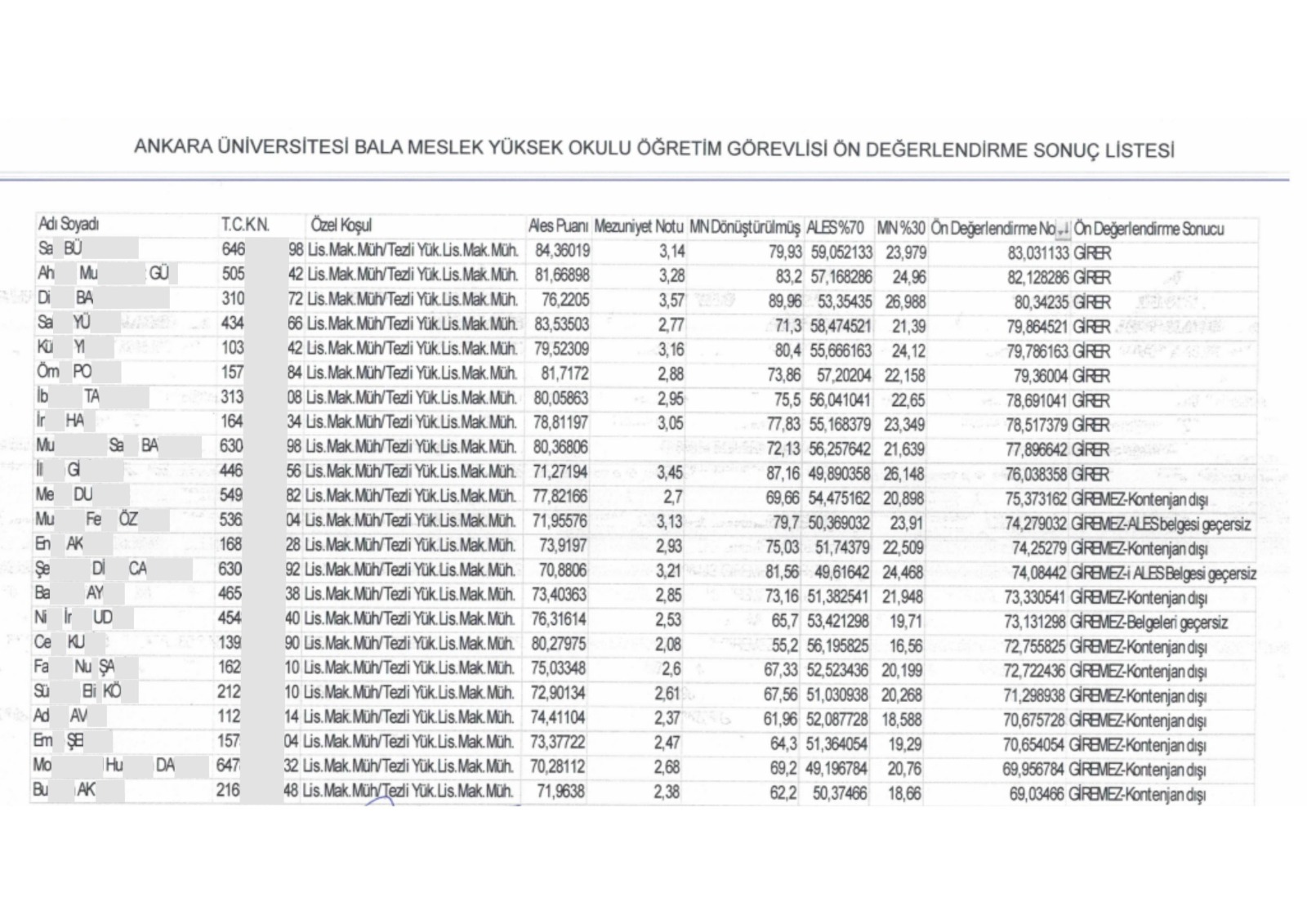
Meslek Yüksekokulumuz İş Makineleri ve Operatörlüğü Programı için 13.10.2025 tarihli ve 33046 sayılı ilan kapsamında yapılan ön değerlendirme sonuçları  aşağıda belirtilmiştir.

Sınav Tarihi: 10/11/2025

Sınav Saati: 14.00

Sınav Yeri: Bala Meslek Yüksekokulu Derslik 104